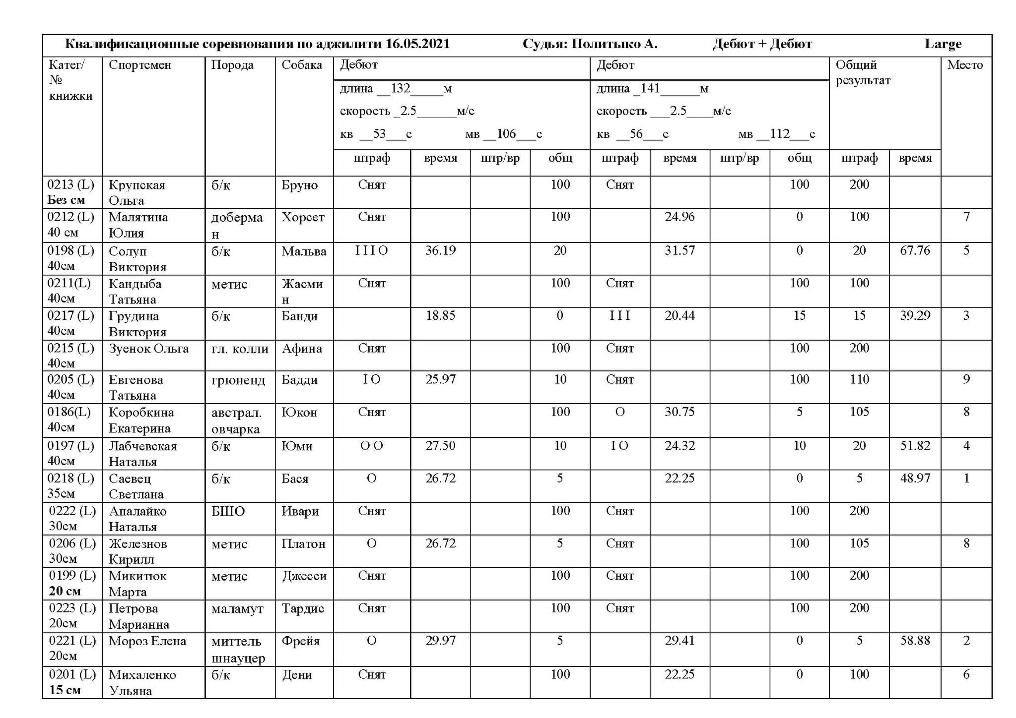
16 мая Кинологическое учреждение "Спортивные собаки" и клуб "МКС" провели квалификационные соревнования по аджилити (FCI).
Warning: count(): Parameter must be an array or an object that implements Countable in /home/xn80aigi/public_html/components/com_k2/models/item.php on line 877
16.05.2021г прошли соревнования по аджилити (FCI) г.Минск

Warning: count(): Parameter must be an array or an object that implements Countable in /home/xn80aigi/public_html/components/com_k2/templates/default/item.php on line 248
Оставить комментарий
Убедитесь, что вы вводите (*) необходимую информацию, где нужно
HTML-коды запрещены
















