6 октября на площадке команды IKS-team прошёл чемпионат Беларуси и квалификационные соревнования по аджилити (FCI). Спасибо всем, что, несмотря на не майский день и прочие обстоятельства, всё состоялось, и прошло слаженно и оперативно! Отдельная благодарность ринговой бригаде и судьям: Денис Ольге, Жуковской Дарине, Андреевой Елизавете, Панотчик Алёне, Железнову Кириллу, Медведевой Юлии, Политыко Андрею и Хацкевич Анне, а также тем, кто помогал при расстановке трасс! Большое спасибо Грудиной Виктории, организатору площадки IKS-team , за сотрудничество и гостеприимство! И, конечно же, благодарность нашим спонсорам -- компании Purina!
Результаты соревнований:
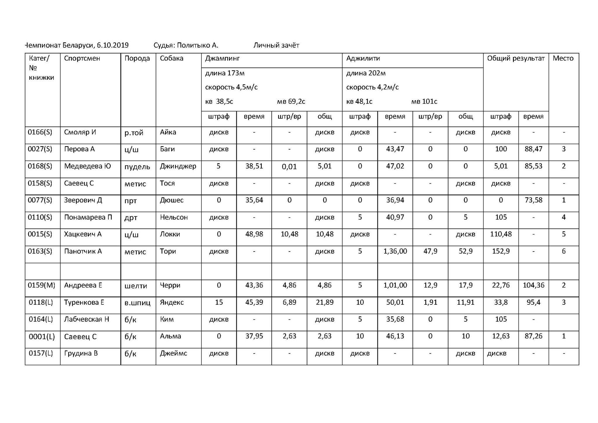
Чемпионат Беларуси
Командный зачет:
1 место -- команда IKS-team
Перова Анастасия и ц/ш Баги
Зверович Дарья и парсон рассел/т Дюшес
Медведева Юлия и пудель Джинджер
Лабчевская Наталья и б/к Ким
2 место -- команда "Юнит"
Панотчик Алёна и метис Тори
Саевец Светлана и метис Тося
Андреева Елизавета и шелти Черри
Саевец Светлана и б/к Альма
3 место -- команда "Гулливер и три лилипута"
Смоляр Ирина и рус. той Айка
Понамарёва Полина и джек рассел/т Нельсон
Хацкевич Анна и ц/ш Локки
Туренкова Елена и вольфшпиц Яндекс
Личный зачёт:
Категория S
1 место -- Зверович Дарья и парсон рассел/т Дюшес
2 место --Медведева Юлия и пудель Джинджер
3 место -- Перова Анастасия и ц/ш Баги
Категория M+L
1 место -- Саевец Светлана и б/к Альма
2 место -- Андреева Елизавета и шелти Черри
3 место -- Туренкова Елена и вольфшпиц Яндекс
А2
1 место -- Лабчевская Наталья и б/к Ким
2 место -- Медведева Юлия и пудель Джинджер
3 место -- Понамарёва Полина и джек рассел/т Нельсон
А1
1 место -- Смоляр Ирина и рус. той Айка
2 место -- Туренкова Елена и вольфшпиц Яндекс
3 место --- Хацкевич Анна и ц/ш Элджи
Д0
1 место -- Грудина Анастасия и нем. шпиц Флоренс
2 место -- Гламаздина Марина и ц/ш Лана
Ветераны
1 место -- Грудина Анастасия и тайск. риджбек Лаки
2 место -- Науменко Татьяна и метис Тяпа
3 место -- Саевец Светлана и метис Тося
Дебют
1 место -- Аляшева Елизавета и йорк/т Глори
2 место -- Дрозд Ульяна и метис Тоша
3 место -- Перова Анастасия и парсон рассел/т Глоша
При подсчёте результатов класса Дебют была допущена ошибка, на 3 месте по итогу Перова Анастасия и парсон рассел терьер Глоша. Приносим извинения за ошибку! Награды будут переданы.






















